Amazon Web Services ブログ
OpenSearch Magazine Vol.2
みなさん、こんにちは。ソリューションアーキテクトの深見です。OpenSearch Magazine の第 2 号をお届けいたします。本号では Amazon OpenSearch Service の最近のアップデート情報と、先日リリースされました OpenSearch 3.0 をはじめ OSS の OpenSearch Project にまつわるアップデートからピックアップしてご紹介します。また Hot Topic として OpenSearch のクエリを最適化する手助けになる機能の1つである Query Insights についてご紹介します。
OpenSearch Magazine は、Amazon OpenSearch Service およびオープンソース版 OpenSearch の最新動向をキャッチアップいただくべく開設されました。開設の経緯や Amazon OpenSearch Service の概要につきましては、「OpenSearch Magazine 開設のお知らせ」よりご確認いただけます。
マネージドサービスのアップデート
直近でリリースされた、 Amazon OpenSearch Service に関する注目のアップデートについてご紹介していきます。
Amazon OpenSearch Service が OpenSearch バージョン 2.19 のサポートを開始
2025 年 4 月 30 日に Amazon OpenSearch Service で OpenSearch 2.19 を利用できるようになりました。OpenSearch 2.19 でのアップデートの中から 2 つピックアップしてご紹介します。
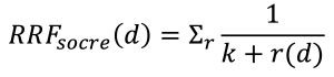
まずは、ハイブリッド検索において RRF(Relative Range Factor) が利用可能になりました。RRF は複数の検索システムの結果を順位の逆数をもとに並び替えるアルゴリズムです。
具体的な数式は、システム r における文書 d の順位 r(d) とハイパーパラメーターである k を用いて次のように計算されます。

この数式の意味を見ていきましょう。
まず、合成したいクエリ(ハイブリッド検索の場合、全文検索とベクトル検索)ごとに検索を実施します。
合成したい複数のクエリごとのランキング結果がでると、ドキュメントごとの順位の逆数をスコアとします。
クエリごとのスコアをそれぞれのドキュメントについて足し合わせることで最終的なスコアとする、と言った流れになります。
ハイブリッド検索を用いる際にベクトル検索のスコアと全文検索のスコアではスケールが異なることから単純にそのスコアをもとに並び替えをしてしまうと検索結果にバイアスが加わってしまいます。しかし、全文検索のスコアは相対的な値でありクエリやドキュメントの母集団によって異なったスケールをもつ値になるためベクトル検索のスコアと組み合わせるには複雑な計算が必要になってしまいます。そこで、RRF ではそれぞれの検索結果の順位を利用することでバイアスを軽減しながら検索結果の統合とリランクが可能になります。
ハイブリッド検索を利用する際には多くの場面で利用されているアルゴリズムのため、待望のアップデートでありました。OpenSearch で利用する場合は search pipeline 上の reranker として設定することで利用できます。
PUT /_search/pipeline/rrf-pipeline
{
"description": "Post processor for hybrid RRF search",
"phase_results_processors": [
{
"score-ranker-processor": {
"combination": {
"technique": "rrf",
"rank_constant": 40
}
}
}
]
}
こちらのブログでも詳しく紹介されていますので、合わせてご確認ください。
次に紹介するのは、ML inference search です。ML inference search を利用することで、検索を行うロジックの前後で ML モデルを呼び出すことでクエリのリクエストやレスポンスの内容を書き換えたりエンリッチしたりすることができる機能になります。非常に柔軟な検索クエリを別のコンポーネントを用意することなく実現できます。例えば、クエリ対象の文字列を Embedding モデルに渡してベクトルに変換したり、LLM にわたすことでクエリ文字列とは違う表現の文章でエンリッチした上で検索を実施するといったことが可能になります。
レスポンスプロセッサーは 2.18 で、リクエストプロセッサーが 2.19 で利用可能になっています。
その他にも、後述のHot Topicで紹介する Query Insights dashboard など多くのアップデートがありました。詳細は、リリースブログやリリースノートをご覧ください。
Amazon OpenSearch Ingestion のガイド付きビジュアルパイプラインビルダーの導入
2025 年 4 月 22 日のアップデートにより、Amazon OpenSearch Ingestion で UI 上からパイプラインの構築が可能になるビジュアルパイプラインビルダーが利用可能になりました。これまでは、OpenSearch Ingestion のパイプラインを作成する際にはブループリントをベースにリソース ARN などの各種パラメータをユーザーが手書きする必要がありました。このアップデートにより、UI 上に表示される候補からリソースを選択することで自動でブループリントに入力がされるようになり、簡単にパイプラインを構築できるようになりました。
詳細は、こちらのブログをご確認ください。
OpenSearch Project の最新動向
OpenSearch Project では、2025 年 5月 6 日に OpenSearch 3.0 がリリースされました!OpenSearch 3.0 では多数のアップデートや新機能が追加されていますが、ベースとなる検索クエリのパフォーマンス向上に注目いただきたいです。詳細はぜひこちらのブログをご確認いただきたいところですが、OpenSearch Big5 ワークロードにおいて 以前までの最新バージョンである 2.19 と比べて約 24% 高速であるという結果になっています。これは、OpenSearch のベースの検索ライブラリである Apache Lucene や Java ランタイムのバージョンアップや OpenSearch 内部のロジックの最適化が要因となっています。
他にも、生成AI 界隈で注目のまとである MCP が OpenSearch にも登場しました。OpenSearch の MCP 関連機能では、OpenSearch への検索をエージェントに行わせるために利用できる MCP 組み込みサーバーの機能とOpenSearch の中のエージェントから外部の MCP サーバーを利用するための MCP クライアントの両面の機能が登場しています。詳細は、OpenSearch における MCP の紹介ブログをご覧ください。
3.0 に関するアップデートの詳細は、リリースノートやリリースブログをご確認ください。OpenSearch 3.0 は2025 年 5月時点でまだマネージドサービスの OpenSearch Service では利用できませんが、今後のアップデートが楽しみですね!
Hot Topic : Query Insights を使ったクエリ最適化
今号のHot Topic として Query Insights と その機能を OpenSearch Dashboard の UI で利用できる Query Insights dashboard についてご紹介します。
OpenSearch を利用して検索のやログ監視といったワークロードを運用していると、クエリが遅く感じ改善しようとされることは少ないありません。もしくは、一定の期間についてリソース使用量がスパイクしているような場合、その原因を探索することが求められる場合もあります。そういった際に、どのようなメトリクスを見て改善方法や問題の原因を検討するのが良いでしょうか?そう言った際に利用できる機能の1つが Query Insights になります。
Query Insights を利用することで、クエリの実行時間、CPU使用率、メモリ使用量などの主要なメトリクスを基準に設定した上位 N 件のクエリを履歴として保持することができます。また、クエリでつかわれている API やその構造をもとに類似しているクエリをグルーピングしたうえで、その中の上位 N 件のクエリグループを表示することもできます。
レイテンシーやリソース使用量について影響の大きなクエリを見つけることで、クエリ自体の改善やパターンに基づく予防策の検討に役立てることができます。
このように重要なメトリクスを追跡できる Query Insights ですが、2.19 より OpenSearch Dashboard の UI 上から 確認することができるようになりました。
UI 上ではクエリの履歴とそれに紐づく各メトリクスを確認することができます。この画面ではレイテンシーを基準に上位 N 件のクエリを探索するといったように、それぞれの項目をもとに履歴を並べかえることが可能です。また、期間やコーディネータノード ID でのフィルタや検索も可能です。
クエリの詳細ページでは、実際にどのようなクエリが実行されたのかや、実行タイムスタンプ、CPUとメモリの使用量、フェーズレベルのレイテンシー、インデックス、ノード、シャードなどのメタデータが確認可能です。
設定画面からは、メトリクスごとに上位何件を追跡するのか、グルーピング、履歴の保持期間や保存先の index の設定が可能です。
このように管理者がクエリパフォーマンスを監視する場合でも、開発者が特定のクエリの問題を調査する場合でもダッシュボード上から簡単にクエリの履歴の探索が可能になります。クエリのパフォーマンスに関してお悩みの場合はぜひ Query Insights dashboard をのぞいてみてください。
セットアップ手順と使用方法については、Query Insights dashboards を参照してください。
まとめ
本号では、Amazon OpenSearch Service の最新アップデートとして、バージョン 2.19 に関連して RRF 対応と ML Inference の機能、OpenSearch Ingestion の ビジュアルパイプラインビルダーをご紹介しました。また OpenSearch Project のアップデートから、3.0 のアップデートの中からパフォーマンスの向上についてと MCP の機能をピックアップしてご紹介しました。そして、OpenSearch のクエリパフォーマンスを改善するのに有効な Query Insights という機能について解説しました。
今号の内容は以上になります。また次回をお楽しみに!
OpenSearch Project のロードマップは、OpenSearch Project サイトおよび Github 上で公開されています。OpenSearch のロードマップについてご興味がございましたら、是非これらの情報をご確認ください。
著者について
ソリューションアーキテクト 深見 修平 (Shuhei Fukami)
2021 年に AWS Japan に Solutions Architect として入社しました。現在は Analytics SAとして Amazon OpenSearch Service をはじめ、AWS Glue、Amazon SageMaker LakeHouse などの Analytics Service にまつわるお客様のデータ分析やビッグデータ処理にまつわるシステムの導入および活用を支援しています。